Spherical Cavity Field Equations for Stationary and Spinning Modes
The field equations for the spherical cavity normal stationary resonant modes are well known and the general form of these equations is as follows:-
Conventional Stationary H Wave Equations
...............(1a)
.............(1b)
...........(1c)
..........(1d)
.........(1e)
.........(1f)
Conventional Stationary E Wave Equations
.............(2a)
..........(2b)
..........(2c)
.............(2d)
...........(2e)
...........(2f)
NOTES ON EQUATIONS:-
1. The symbols used in the equations are as follows:-
n, p -- Can take the value 0, 1, 2, 3.....etc and are the integers defining the harmonic solutions. (Sometimes called the eigenvalues)
c -- the velocity of light
A -- An arbitrary constant which controls the amplitude of all the field components.
r, φ, θ -- The usual spherical coordinates ie r is the radius of the spherical cavity, φ is the rotational angle about the z axis measured anticlockwise from the x axis, and θ is the angle to the z axis.
t -- Time
ω -- The resonant angular frequency in radians per second (2πf)
2. The
meaning of terms
such as
is
that either the top
term is used for each field component or the bottom term is used. For a
particular resonant mode it is not permissible to mix terms from the
top and
bottom for the E and H fields. The minus sign included with the bottom
term
indicates that this field component is multiplied by -1. Although the
equations
look different if the bottom terms are used instead of the top ones the
only
effect is that the bottom terms represent rotation of all the fields
anti-clockwise, in the direction of
, by
radians
electrical (i.e. 90 degrees electrical). Because all field components
are
rotated together no new field configuration is normally produced.
However, if n
= 0 then sin(nθ)
= 0
and cos(nθ) =1
then
looking at the main field equations it is apparent that the top terms
produce a
valid field whereas the bottom terms do not. It is therefore generally
preferable to use the top terms rather than the bottom.
3. BesselJ functions are standard functions which often appear in solutions which use spherical coordinates. They define the form of the field in the radial direction. They are similar to a decaying sine wave and for example plots of BesselJ(-1/2,R), BesselJ(1/2,R), BesselJ((3/2,R) and BesselJ(5/2,R) are shown below in Fig 20.

Note that most of the BesselJ
terms in the field equations are also divided by r,
,
or
which will alter the radial rate of decay of the
field
distribution from that of the BesselJ
function alone.
4.
are known
as associated Legendre Polynomials and they define
the field distribution in the θ direction. They are more frequently
written in text books as Ppn(cos( θ)). The LegendreP
functions are
again standard functions and are just polynomials in cos(θ)
and sin(θ) and their value may be
looked up in tables. They only
have valid real values for n
p
and typical functions
are:-
|
|
Function |
|
|
p |
n |
|
|
0 |
0 |
1 |
|
1 |
0 |
cos(θ) |
|
1 |
1 |
-sin(θ) |
|
|
0 |
|
|
2 |
1 |
- |
|
2 |
2 |
|
|
3 |
0 |
|
|
3 |
1 |
|
|
3 |
2 |
15 |
|
3 |
3 |
|
5. The term
represents
a rotating vector of
magnitude one and rotating at a frequency ω. For the usual stationary
fields of a standard cavity resonator it represents a
sinusoidally varying amplitude with
time. The H
fields have a term
and the
term
represent a phase advance in time of the sinusoidal H field on the E
field by
radians.
6. The above equations define a field
which has
zero divergence of both electric and magnetic fields and satisfy
Maxwell’s equations for a field in vacuum, without charges or currents,
of
and
.
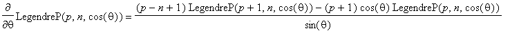
7. It is usually easiest to find the sine and cosine equivalent of the Legendre functions directly from tables and then take the differential if required. It may be of interest to note that the differential of the Legendre function is:-

The differential of the BesselJ expression which is often used is:-
= 
If using a Maple computer program it is useful to remember that:-
sin(nv - nωt) = -sin(-nv + nωt)
but cos(nv - nωt) = cos(-nv + nωt)
Spinning Resonant Spherical Fields
The above
equations and
notes represent the standard interpretation of the fields in a resonant
cavity.
However, the same equations can be used to describe a spinning field.
In this
case the
term refers to the field change that occurs due
to the field
spinning in space with constant amplitude about the z axis in the
direction of
ф. Now ω is the frequency of the field as sensed by a probe
positioned so as to measure the frequency of the field rotating past
it. This
can be considered as the electrical speed of rotation and the
mechanical
frequency of spin (
)
will be
radians per second. This follows because there
are n cycles
of the field in each revolution in the ф direction. In fact it is
because
the field is sinusoidal in the ф direction
that rotation in this direction is to the observer the same as a field
variation in time. If n = 0 then there is no variation of the field in
the
ф direction so no field variation
with
rotation and therefore this is not a possible spinning mode. All higher
values
of n i.e. 1,2,3,4 etc will support spinning fields. For the spinning
field
instead of using ω which refers to the electrical variation we can, if
preferred, replace it by n
which
is still the electrical variation
but expressed in terms of the mechanical spin frequency. Therefore
becomes
etc.
The
term
in the H field equations (1d to 1f)
and (2e and 2f) above referred to a time phase difference between
fields. It
now refers to a space phase difference which requires that the H field
is
rotated
electrical in space in advance of
the E field. This is
radians of
mechanical rotation.
The above description is the essentials of the spinning field description but we can carry out this transformation from stationary to spinning field in a more mathematical manner and at the same time it is possible to express the field equations in a slightly different way which emphasizes the rotating aspects.
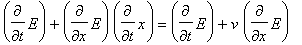
For any field which has a varying amplitude distribution through space and which moves in a straight line relative to the observer then a change in the field with time is given by:-
=
For a field just rotating in the v direction the total change is:-
=
or, as discussed above, as the mechanical speed of
rotation,
=
then the rate of
change of E may be written:-
=
+ ![]()
..........(3)
The rate of
change is
therefore in two parts. The first part,
,
is just due to changes with time and the
second
part ![]()
is due to changes in location. The
normal stationary fields just involve the first term and the spinning
fields
just involve the second term.
In applying equation (3) it is initially only necessary to consider the parts of the field that are functions of ф or t. The stationary E and H fields of the H wave equation (1) above can therefore be represented by simplified expressions. The radial and theta parts of each equation has been replaced by functions F r, Fθ and Fф and F'r, F'θ and F'ф and these can be considered constant for the mathematical operations about to be carried out. So the simplified fields are:-
E = 0,
-Fθ ![]()
, -Fф
...........(4a)
H = F'r
,F' θ
,-F'ф
.........(4b)
Differentiating the E and H fields in equation (4a) and (4b) with respect to t, to find the change with time for the first part of eqn(3), which occurs in the normal stationary cavity :-
= 0,
-Fθ ![]()
![]()
, -Fф
![]()
..............(5a)
= - F' r ![]()
,-F'θ ![]()
,+F'ф
![]()
.........(5b)
Differentiating equation (4a) and (4b)
with
respect to ф and multiplying by
to find the second part of eqn(3),
which is the change due to the constant amplitude spinning fields :-
=
0,
-Fθ
![]()
, +Fф ![]()
![]()
![]()
.......(6a)
= - F' r ![]()
,-F'θ ![]()
,-F'ф ![]()
.........(6b)
The following relationships can be
substituted in eqns (6a) and (6b), where I
is
rotation by
radians in the ф direction:-
sin(nv) = I cos(nv) …….(7a)
cos(nv) = -I sin(nv) ....….(7b)
NB. Care is
necessary
when using this substitution as although it is correct for rotation, as
in this
case, it is not numerically correct (i.e.
is not numerically
equal to
although cos(nф) phase shifted or
rotated to advance by
electrical
is the same as sin(nф) ). It is also not
valid for n = 0 as phase
advancing a cos(nф) = 1 field which
will
have a constant amplitude of one by
electrical
cannot give a sin(nф)
= 0 field of constant
amplitude zero.
However, as a spinning field does not exist for n = 0 this limitation
does not
affect the results.
This substitution gives:-
= 0
,
+Fθ
![]()
![]()
, +Fф ![]()
......(8a)
= + F' r ![]()
,+F'θ ![]()
,-F'ф ![]()
.........(8b)
A
sufficient condition
for two fields to be the same is that the divergence and curl of the
fields are
the same. For the stationary and spinning fields the divergence of E
and H will
be the same, i.e. zero, as required for charge free fields. From
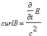
Maxwell’s equations we know
and
.
Therefore, if
for
the
spinning and stationary fields are the same then curlH
is the same and hence the spinning and stationary H fields are the
same.
Similarly the E fields are identical if
is the same.
Comparing equations (8a) with (5a) and (8b) with (5b) we see that the time rates of change are identical apart from all terms in equations (8a) and (8b) being of opposite sign. This shows that the spinning fields are of the identical form to the conventional stationary cavity fields. The minus sign just indicates that the spinning E and H fields are both rotated by π electrical (180 degrees) in space with respect to the stationary fields
Carrying out a similar calculation for the alternative bottom ф term in the H wave equations (1) and both top and bottom E wave equations (2) shows that again the spherical cavity spinning fields are of identical form to the stationary fields apart from the minus sign.
Writing Spinning Field Equations.
Although it has now been shown that the conventional cavity field equations (1) are applicable to a rotating field there are a number of changes which can be made to the equations to emphasize the spinning aspect:-
1. The H
field
expressions contain an I term which
indicates that the
spinning H field is
degrees
electrical in advance of
the E field. This phase advance is essential for the fields to spin but
can be
expressed in a different way by removing the I
term
using equations (7a) and (7b) so:-
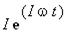
I
e (Iωt)
=
e (Iωt)
I e (Iωt)
= -
e (Iωt)
2. The mechanical speed of rotation,
=
, so replace all
occurrences of ω in the equations by
. The equations are
then written in terms of the angular
frequency of revolution.
3 The exponential terms such as
represent
rotation in the ф direction and can be written as the equivalent
expression
. You can see this later expression also
represents
rotation as for t=0 say then at ф = 0 the field will be zero. However,
as
t increases ф must increase to keep
equal
to zero and the increasing value
of ф with time is rotation.
Making these three changes to eqn
(1) and changing the sign we have the field equations for a spinning
field:-
Spinning H Wave Equations for a Spherical Cavity
...............(9a)
.............(9b)
...........(9c)
..........(9d)
.....(9e)
.........(9f)
Spinning E Wave Equations for a Spherical Cavity
.............(10a)
....(10b)
.........(10c)
.............(10d)
...........(10e)
...........(10f)
In order to confirm that the field
equations have
been correctly manipulated it is only necessary to check that the E and
H
fields in equations (9) and (10) satisfy Maxwell's equations. For this
it is,
of course, necessary to use the full equations with either the top or
bottom
term. This has
been done using a computer program written in Maple 6 and the equations
comply
with all four of Maxwell's equations.